Упр.1.140 ГДЗ Виленкин Жохов 6 класс Часть 1, Просвещение (Математика)

Решение #1

Изображение 1.140. Составьте множество A всех натуральных чисел, на которые делится без остатка число 20, и множество В всех натуральных чисел, на которые делится без остатка число...

Решение #2

Изображение 1.140. Составьте множество A всех натуральных чисел, на которые делится без остатка число 20, и множество В всех натуральных чисел, на которые делится без остатка число...

Рассмотрим вариант решения задания из учебника Виленкин, Жохов, Чесноков 6 класс, Просвещение:
1.140. Составьте множество A всех натуральных чисел, на которые делится без остатка число 20, и множество В всех натуральных чисел, на которые делится без остатка число 30. Найдите пересечение и объединение множеств A и В.

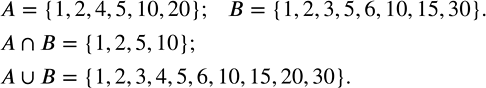
Составим множество А.
А={1,2,4,5,10,20}.
Составим множество В.
В={1,2,3,5,6,10,15,30}.
Пересечением множеств называется множество, состоящее из всех элементов, которые принадлежат одновременно обоим множествам.
А В={1,2,5,10}.
Объединением множеств называется множество, состоящее из всех элементов, которые принадлежат либо первому множеству, либо (включая те, которые принадлежат и первому, и второму множеству).
А В={1,2,3,4,5,6,10,15,20,30}.
*Цитирирование задания со ссылкой на учебник производится исключительно в учебных целях для лучшего понимания разбора решения задания.
*размещая тексты в комментариях ниже, вы автоматически соглашаетесь с пользовательским соглашением