Упр.10 ГДЗ Никольский Потапов 6 класс (Математика)
Решение #1

Рассмотрим вариант решения задания из учебника Никольский, Потапов, Решетников 6 класс, Просвещение:
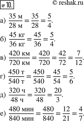
10. Упростите отношение величин:
а) (35 м)/(28 м);
б) (45 кг)/(36 кг);
в) (420 км)/(720 км);
г) (450 т)/(540 т);
д) (320 ч)/(48 ч);
е) (480 мин)/(840 мин).
*размещая тексты в комментариях ниже, вы автоматически соглашаетесь с пользовательским соглашением