Упр.100 ГДЗ Зубарева Мордкович 6 класс ФГОС (Математика)
Решение #1

Рассмотрим вариант решения задания из учебника Зубарева, Мордкович 6 класс, Мнемозина:
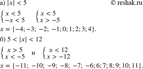
100. Запишите все целые числа, модули которых:
а) меньше 5; б) больше 5, но меньше 12.
*размещая тексты в комментариях ниже, вы автоматически соглашаетесь с пользовательским соглашением