Упр.121 ГДЗ Дорофеев Шарыгин 6 класс (Математика)
Решение #1

Рассмотрим вариант решения задания из учебника Дорофеев, Шарыгин, Суворова 6 класс, Просвещение:
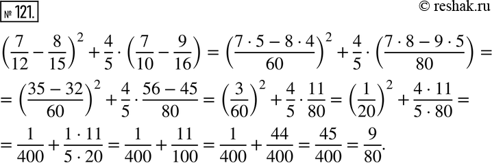
121. Найдите значение выражения (7/12 - 8/15)2 + 4/5 * (7/10 - 9/16).
*размещая тексты в комментариях ниже, вы автоматически соглашаетесь с пользовательским соглашением