Упр.162 ГДЗ Дорофеев Шарыгин 6 класс (Математика)
Решение #1

Рассмотрим вариант решения задания из учебника Дорофеев, Шарыгин, Суворова 6 класс, Просвещение:
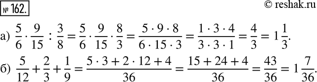
162. Найдите значение выражения:
а) 5/6 * 9/15 : 3/8;
б) 5/12 + 2/3 + 1/9.
*размещая тексты в комментариях ниже, вы автоматически соглашаетесь с пользовательским соглашением