Упр.187 ГДЗ Зубарева Мордкович 6 класс ФГОС (Математика)
Решение #1

Рассмотрим вариант решения задания из учебника Зубарева, Мордкович 6 класс, Мнемозина:
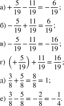
187. Найдите значение выражения:
а)+5/19-11/19;
б)-5/19+11/19;
в)-5/19-11/19;
г) (+5/19)+11/19;
д) 3/8+5/8;
е) 3/8-5/8.
*размещая тексты в комментариях ниже, вы автоматически соглашаетесь с пользовательским соглашением