Упр.19 ГДЗ Никольский Потапов 6 класс (Математика)
Решение #1

Рассмотрим вариант решения задания из учебника Никольский, Потапов, Решетников 6 класс, Просвещение:
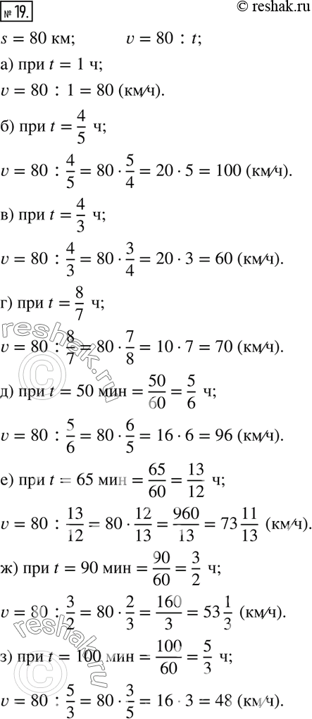
19. Найдите скорость автомашины, если 80 км она проезжает:
а) за 1 ч; б) за 4/5 ч; в) за 4/3 ч; г) за 8/7 ч;
д) за 50 мин; е) за 65 мин; ж) за 90 мин; з) за 100 мин.
*размещая тексты в комментариях ниже, вы автоматически соглашаетесь с пользовательским соглашением