Упр.2.204 ГДЗ Виленкин Жохов 6 класс Часть 1, Просвещение (Математика)

Решение #1

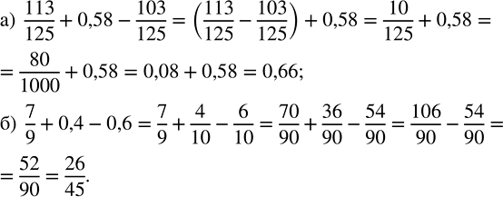
Изображение 2.204. Выполните действия:а) 113/125 + 0,58 - 103/125;   б) 7/9 + 0,4 - 0,6.При сложении (вычитании) дробей с одинаковыми знаменателями, их числители складывают...

Решение #2

Изображение 2.204. Выполните действия:а) 113/125 + 0,58 - 103/125;   б) 7/9 + 0,4 - 0,6.При сложении (вычитании) дробей с одинаковыми знаменателями, их числители складывают...
Дополнительное изображение

Рассмотрим вариант решения задания из учебника Виленкин, Жохов, Чесноков 6 класс, Просвещение:
2.204. Выполните действия:
а) 113/125 + 0,58 - 103/125; б) 7/9 + 0,4 - 0,6.

При сложении (вычитании) дробей с одинаковыми знаменателями, их числители складывают (вычитают), а знаменатель оставляют тот же.

а) Для выражения применяем сочетательный и переместительный законы сложения (при сложении нескольких чисел законы сложения позволяют переставлять слагаемые и расставлять скобки так, как нам удобно для вычислений).
Сгруппируем отдельно обыкновенные дроби.
113/125+0,58-103/125=(113/125-103/125)+0,58=(113-103)/125+0,58=10/125+0,58
Переведём обыкновенную дробь в десятичную.
Для того, чтобы дробь 10/125 представить в виде десятичной дроби, сначала расширяем эту дробь на число 8 (дополнительный множитель), чтобы в знаменателе получилась разрядная единица 1000.
10/125=(10•8)/(125•8)=80/1000
Для того, чтобы получившуюся дробь записать в виде десятичной дроби, сначала пишем целую часть, а потом числитель дробной части (0,080).
10/125+0,58=0,08+0,58=0,66

б) Обыкновенную дробь 7/9 нельзя перевести в десятичную (невозможно подобрать дополнительный множитель, чтобы привести дробь к новому знаменателю 10, 100, 1000 и так далее).
Поэтому переведём десятичные дроби 0,4 и 0,6 в обыкновенные дроби.
Для того, чтобы 0,4 перевести в обыкновенную дробь, в числителе дроби записываем число, стоящее после запятой (4), а в знаменателе 1 и столько же нулей, сколько знаков после запятой в десятичной дроби 0,4 (один знак), получим
0,4=4/10
Сократим получившуюся дробь на 2.
4/10=(2•2)/(2•5)=2/5
Для того, чтобы 0,6 перевести в обыкновенную дробь, в числителе дроби записываем число, стоящее после запятой (6), а в знаменателе 1 и столько же нулей, сколько знаков после запятой в десятичной дроби 0,6 (один знак), получим
0,6=6/10
Сократим получившуюся дробь на 2.
6/10=(2•3)/(2•5)=3/5
7/9+0,4-0,6=7/9+2/5-3/5=(7•5)/(9•5)+(2•9)/(5•9)-(3•9)/(5•9)=35/45+18/45-27/45=(35+18-27)/45=26/45
*Цитирирование задания со ссылкой на учебник производится исключительно в учебных целях для лучшего понимания разбора решения задания.
*размещая тексты в комментариях ниже, вы автоматически соглашаетесь с пользовательским соглашением