Упр.2.221 ГДЗ Виленкин Жохов 6 класс Часть 1, Просвещение (Математика)

Решение #1

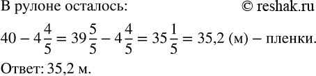
Изображение 2.221. От рулона полиэтиленовой плёнки длиной 40 м отрезали кусок длиной 4 4/5 м. Сколько метров плёнки осталось в...

Рассмотрим вариант решения задания из учебника Виленкин, Жохов, Чесноков 6 класс, Просвещение:
2.221. От рулона полиэтиленовой плёнки длиной 40 м отрезали кусок длиной 4 4/5 м. Сколько метров плёнки осталось в рулоне?
*Цитирирование задания со ссылкой на учебник производится исключительно в учебных целях для лучшего понимания разбора решения задания.
*размещая тексты в комментариях ниже, вы автоматически соглашаетесь с пользовательским соглашением