Упр.2.324 ГДЗ Виленкин Жохов 6 класс Часть 1, Просвещение (Математика)

Решение #1

Изображение 2.324. Запишите в виде процентов:а) 0,34;   б) 0,6;   в) 0,09;   г) 4/5;   д) 9/20;   е) 11/50.Для того, чтобы представить обыкновенную дробь в процентах, сначала...

Решение #2

Изображение 2.324. Запишите в виде процентов:а) 0,34;   б) 0,6;   в) 0,09;   г) 4/5;   д) 9/20;   е) 11/50.Для того, чтобы представить обыкновенную дробь в процентах, сначала...

Рассмотрим вариант решения задания из учебника Виленкин, Жохов, Чесноков 6 класс, Просвещение:
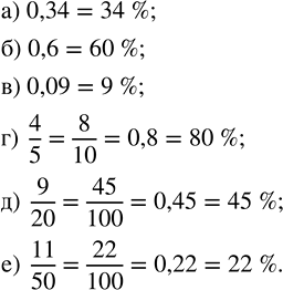
2.324. Запишите в виде процентов:
а) 0,34; б) 0,6; в) 0,09; г) 4/5; д) 9/20; е) 11/50.

Для того, чтобы представить обыкновенную дробь в процентах, сначала необходимо эту дробь представить в виде десятичной дроби, а затем полученную десятичную дробь умножить на 100 и к результату приписать знак %.
Для того, чтобы обыкновенную дробь представить в виде десятичной, необходимо в знаменателе этой дроби получить единицу с нулями.
Для того, чтобы в знаменателе дроби получить единицу с нулями, используем основное свойство дроби – если числитель и знаменатель дроби умножить на одно и то же число, то получим дробь, равную данной.
а) 0,34=0,34•100=34%
б) 0,6=0,60=0,60•100=60%
в) 0,09=0,09•100=9%
г) 4/5=(4•2)/(5•2)=8/10=0,8=0,80=0,80•100=80%
д) 9/20=(9•5)/(20•5)=45/100=0,45=0,45•100=45%
е) 11/50=(11•2)/(50•2)=22/100=0,22=0,22•100=22%
*Цитирирование задания со ссылкой на учебник производится исключительно в учебных целях для лучшего понимания разбора решения задания.
*размещая тексты в комментариях ниже, вы автоматически соглашаетесь с пользовательским соглашением