Упр.2.555 ГДЗ Виленкин Жохов 6 класс Часть 1, Просвещение (Математика)

Решение #1

Изображение 2.555. Найдите значение выражения: а) (3/4)/(9/16);   б) 7/(3/5);   в) (5/9)/2;   г) 6,5/1,3.Если в числителе и знаменателе дробного выражения стоят обыкновенные...

Решение #2

Изображение 2.555. Найдите значение выражения: а) (3/4)/(9/16);   б) 7/(3/5);   в) (5/9)/2;   г) 6,5/1,3.Если в числителе и знаменателе дробного выражения стоят обыкновенные...

Рассмотрим вариант решения задания из учебника Виленкин, Жохов, Чесноков 6 класс, Просвещение:
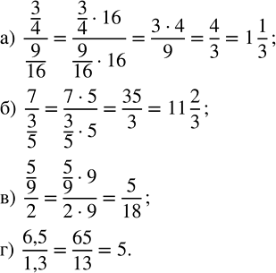
2.555. Найдите значение выражения:
а) (3/4)/(9/16); б) 7/(3/5); в) (5/9)/2; г) 6,5/1,3.
Если в числителе и знаменателе дробного выражения стоят обыкновенные дроби, то выполняем деление числителя на знаменатель, учитывая то, что дробь равна частному, в котором делимое – числитель, делитель – знаменатель.
Для того, чтобы разделить две обыкновенные дроби, необходимо делимое умножить на число, обратное делителю, то есть у делителя поменять местами числитель и знаменатель.
Произведением двух дробей является число, числитель которого равен произведению числителей, а знаменатель - произведению знаменателей.
Для того, чтобы неправильную дробь, числитель которой нацело не делится на знаменатель, преобразовать в смешанное число, необходимо числитель разделить на знаменатель; полученное неполное частное записать как целую часть смешанного числа, а остаток – как числитель его дробной части.
а) (3/4)/(9/16)=3/4 :9/16=3/4•16/9=(3•16)/(4•9)=(3•4•4)/(4•3•3)=4/3=1 1/3
б) 7/(3/5)=7:3/5=7•5/3=(7•5)/3=35/3=11 2/3
в) (5/9)/2=5/9 :2=5/9 :2/1=5/9•1/2=(5•1)/(9•2)=5/18
г) В числителе и знаменателе переносим запятую на равное количество знаков.
6,5/1,3=65/13=(5•13)/13=5/1=5
*Цитирирование задания со ссылкой на учебник производится исключительно в учебных целях для лучшего понимания разбора решения задания.
*размещая тексты в комментариях ниже, вы автоматически соглашаетесь с пользовательским соглашением