Упр.230 ГДЗ Зубарева Мордкович 6 класс ФГОС (Математика)
Решение #1

Рассмотрим вариант решения задания из учебника Зубарева, Мордкович 6 класс, Мнемозина:
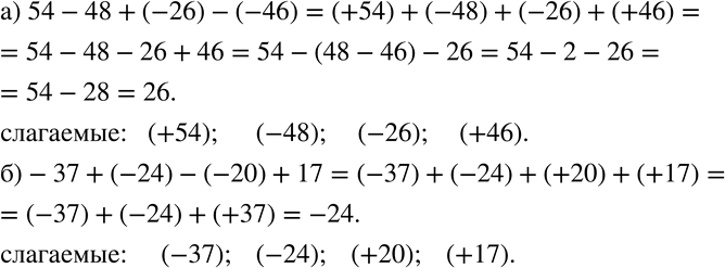
230. Назовите слагаемые алгебраической суммы, запишите выражение без скобок и найдите его значение:
а) 54-48+(-26)-(-46);
б)-37+(-24)-(-20)+17.
*размещая тексты в комментариях ниже, вы автоматически соглашаетесь с пользовательским соглашением