Упр.232 ГДЗ Зубарева Мордкович 6 класс ФГОС (Математика)
Решение #1

Рассмотрим вариант решения задания из учебника Зубарева, Мордкович 6 класс, Мнемозина:
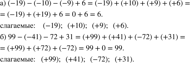
232. Назовите слагаемые алгебраической суммы, запишите выражение без скобок и найдите его значение:
а) (-19)-(-10)-(-9)+6;
б) 99-(-41)-72+31.
*размещая тексты в комментариях ниже, вы автоматически соглашаетесь с пользовательским соглашением