Упр.293 ГДЗ Зубарева Мордкович 6 класс ФГОС (Математика)
Решение #1

Рассмотрим вариант решения задания из учебника Зубарева, Мордкович 6 класс, Мнемозина:
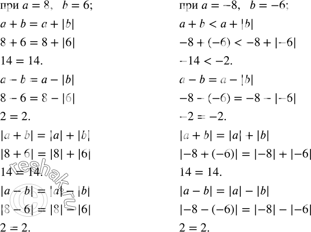
293. Сравните значения выражений a+b и a+|b|; a-b и a-|b|; |a+b| и |a|+|b|; |a-b| и |a|-|b| при a=8,b=6; a=-8,b=-6; a=-8,b=6; a=8,b=-6.
Проанализируйте полученные результаты и определите, какие из следующих утверждений верны:
а) при замене слагаемого его модулем сумма увеличивается;
б) при замене вычитаемого его модулем разность не увеличивается;
в) модуль суммы чисел меньше суммы модулей слагаемых;
г) модуль разности чисел больше или равен разности их модулей.
*размещая тексты в комментариях ниже, вы автоматически соглашаетесь с пользовательским соглашением