Упр.298 ГДЗ Зубарева Мордкович 6 класс ФГОС (Математика)
Решение #1

Рассмотрим вариант решения задания из учебника Зубарева, Мордкович 6 класс, Мнемозина:
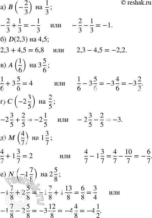
298. Найдите координаты точек, удаленных от точки:
а) B(-2/3) на 1/3;
б) D(2,3) на 4,5;
в) A(1/6) на 3 5/6;
г) C(-2 3/5) на 2/5;
д) M(4/7) на 1 3/7;
е) N(-1 7/8) на 2 5/8.
*размещая тексты в комментариях ниже, вы автоматически соглашаетесь с пользовательским соглашением