Упр.313 ГДЗ Мерзляк Полонский 6 класс (Математика)
Решение #1

Рассмотрим вариант решения задания из учебника Мерзляк, Полонский, Якир 6 класс, Вентана-Граф:
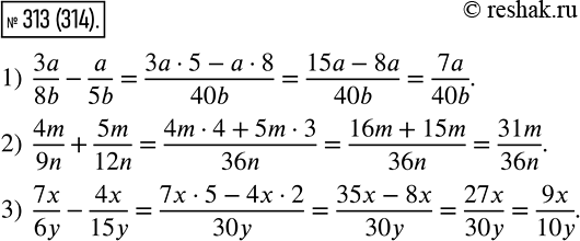
313 Упростите выражение (буквами обозначены натуральные числа):
1) 3a/8b? a5/b;
2) 4m/9n+ 5m/12n;
3) 7x/6y? 4x/15y.
*размещая тексты в комментариях ниже, вы автоматически соглашаетесь с пользовательским соглашением