Упр.317 ГДЗ Зубарева Мордкович 6 класс ФГОС (Математика)
Решение #1

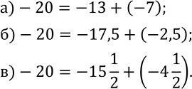
Рассмотрим вариант решения задания из учебника Зубарева, Мордкович 6 класс, Мнемозина:
317. Представьте число -20 в виде суммы двух отрицательных чисел так, чтобы слагаемые были: а) целыми числами; б) десятичными дробями; в) смешанными числами.
*размещая тексты в комментариях ниже, вы автоматически соглашаетесь с пользовательским соглашением