Упр.331 ГДЗ Мерзляк Полонский 6 класс (Математика)
Решение #1

Рассмотрим вариант решения задания из учебника Мерзляк, Полонский, Якир 6 класс, Вентана-Граф:
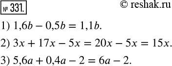
331 Упростите выражение:
1) 1,6b ? 0,5b;
2) 3x + 17x ? 5x;
3) 5,6a + 0,4a ? 2.
*размещая тексты в комментариях ниже, вы автоматически соглашаетесь с пользовательским соглашением