Упр.355 ГДЗ Дорофеев Шарыгин 6 класс (Математика)
Решение #1

Рассмотрим вариант решения задания из учебника Дорофеев, Шарыгин, Суворова 6 класс, Просвещение:
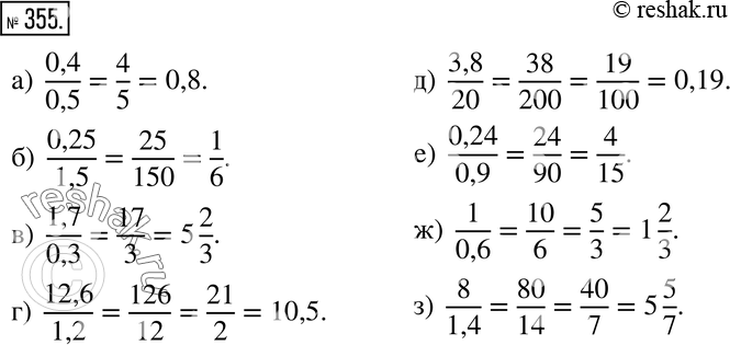
355. Найдите значение выражения:
а) 0,4/0,5;
б) 0,25/1,5;
в) 1,7/0,3;
г) 12,6/1,2;
д) 3,8/20;
е) 0,24/0,9;
ж) 1/0,6;
з) 8/1,4.
*размещая тексты в комментариях ниже, вы автоматически соглашаетесь с пользовательским соглашением