Упр.375 ГДЗ Зубарева Мордкович 6 класс ФГОС (Математика)
Решение #1

Рассмотрим вариант решения задания из учебника Зубарева, Мордкович 6 класс, Мнемозина:
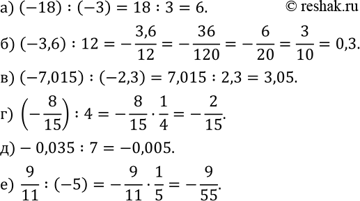
375. Вычислите:
а) (-18) :(-3);
б) (-3,6) :12;
в) (-7,015) :(-2,3);
г) (-8/15) :4;
д)-0,035:7;
е) 9/11 :(-5).
*размещая тексты в комментариях ниже, вы автоматически соглашаетесь с пользовательским соглашением