Упр.389 ГДЗ Зубарева Мордкович 6 класс ФГОС (Математика)
Решение #1

Рассмотрим вариант решения задания из учебника Зубарева, Мордкович 6 класс, Мнемозина:
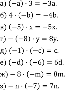
389. Запишите без скобок:
а) (-a)•3;
б) 4•(-b);
в) (-5)•x;
г)-(-8)•y;
д) (-1)•(-c);
е) (-d)•(-6);
ж)-8•(-m);
з)-n•(-7).
*размещая тексты в комментариях ниже, вы автоматически соглашаетесь с пользовательским соглашением