Упр.393 ГДЗ Зубарева Мордкович 6 класс ФГОС (Математика)
Решение #1

Рассмотрим вариант решения задания из учебника Зубарева, Мордкович 6 класс, Мнемозина:
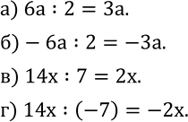
393. Упростите выражения:
а) 6a:2;
б)-6a:2;
в) 14x:7;
г) 14x:(-7).
*размещая тексты в комментариях ниже, вы автоматически соглашаетесь с пользовательским соглашением