Упр.395 ГДЗ Мерзляк Полонский 6 класс (Математика)
Решение #1
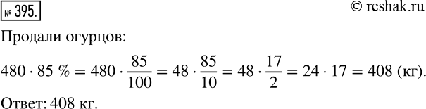
Решение #2

Рассмотрим вариант решения задания из учебника Мерзляк, Полонский, Якир 6 класс, Вентана-Граф:
395 Магазин продал 480кг огурцов и помидоров, причем масса огурцов составляла 85% массы этих овощей. Сколько килограммов огурцов продали?
*размещая тексты в комментариях ниже, вы автоматически соглашаетесь с пользовательским соглашением