Упр.501 ГДЗ Мерзляк Полонский 6 класс (Математика)
Решение #1

Рассмотрим вариант решения задания из учебника Мерзляк, Полонский, Якир 6 класс, Вентана-Граф:
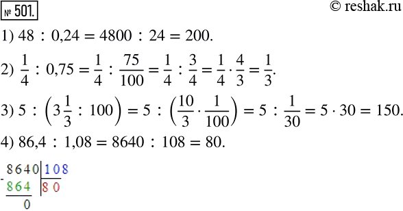
501 Найдите число, если:
1) 24% этого числа равны 48;
2) 75% этого числа равны 1/4 ;
3) 3*1/3 % этого числа равны 5;
4) 108% этого числа равны 86,4.
*размещая тексты в комментариях ниже, вы автоматически соглашаетесь с пользовательским соглашением