Упр.62 ГДЗ Зубарева Мордкович 6 класс ФГОС (Математика)
Решение #1

Рассмотрим вариант решения задания из учебника Зубарева, Мордкович 6 класс, Мнемозина:
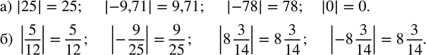
62. Укажите модули чисел:
а) 25; -9,71; -78; 0;
б) 5/12; -9/25; 8 3/14; -8 3/14.
*размещая тексты в комментариях ниже, вы автоматически соглашаетесь с пользовательским соглашением