Упр.656 ГДЗ Зубарева Мордкович 6 класс ФГОС (Математика)
Решение #1

Рассмотрим вариант решения задания из учебника Зубарева, Мордкович 6 класс, Мнемозина:
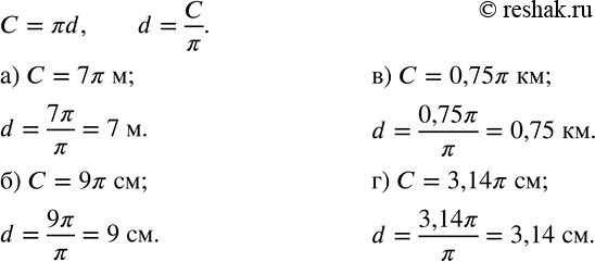
656. Определите диаметр окружности, длина которой равна:
а) 7? м;
б) 9? см;
в) 0,75? км;
г) 3,14? см.
*размещая тексты в комментариях ниже, вы автоматически соглашаетесь с пользовательским соглашением