Упр.659 ГДЗ Зубарева Мордкович 6 класс ФГОС (Математика)
Решение #1

Рассмотрим вариант решения задания из учебника Зубарева, Мордкович 6 класс, Мнемозина:
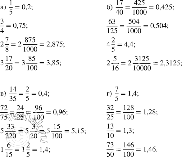
659. Представьте число в виде десятичной дроби:
а) 1/5; 3/4; 2 7/8; 3 17/20;
б) 17/40; 63/125; 4 2/5; 2 5/16;
в) 14/35; 72/75; 5 33/220; 1 6/15;
г) 7/5; 32/25; 13/10; 73/50.
*размещая тексты в комментариях ниже, вы автоматически соглашаетесь с пользовательским соглашением