Упр.660 ГДЗ Никольский Потапов 6 класс (Математика)
Решение #1

Рассмотрим вариант решения задания из учебника Никольский, Потапов, Решетников 6 класс, Просвещение:
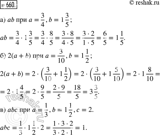
660. Найдите значение буквенного выражения:
а) ab при a=3/4,b=1 3/5;
б) 2(a+b) при a=3/10,b=1 1/2;
в) abc при a=1/3,b=1 1/2,c=2.
*размещая тексты в комментариях ниже, вы автоматически соглашаетесь с пользовательским соглашением