Упр.663 ГДЗ Зубарева Мордкович 6 класс ФГОС (Математика)
Решение #1

Рассмотрим вариант решения задания из учебника Зубарева, Мордкович 6 класс, Мнемозина:
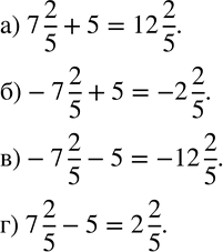
663. Вычислите:
а) 7 2/5+5;
б)-7 2/5+5;
в)-7 2/5-5;
г) 7 2/5-5.
*размещая тексты в комментариях ниже, вы автоматически соглашаетесь с пользовательским соглашением