Упр.731 ГДЗ Никольский Потапов 6 класс (Математика)
Решение #1

Рассмотрим вариант решения задания из учебника Никольский, Потапов, Решетников 6 класс, Просвещение:
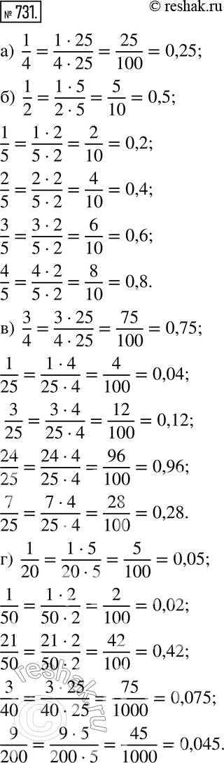
731. Запишите в виде десятичной дроби по образцу:
а) 1/4=(1•25)/(4•25)=25/100=0,25;
б) 1/2,1/5,2/5,3/5,4/5;
в) 3/4,1/25,3/25,24/25,7/25;
г) 1/20,1/50,21/50,3/40,9/200;
д) 16/10,324/100,99/10,1234/1000;
е) 168/40,328/80,9999/900,1648/160;
ж) 3/2,6/5,17/4,39/25;
з) 13/20,14/20,14/700,35/500,36/500.
*размещая тексты в комментариях ниже, вы автоматически соглашаетесь с пользовательским соглашением