Упр.74 ГДЗ Зубарева Мордкович 6 класс ФГОС (Математика)
Решение #1

Рассмотрим вариант решения задания из учебника Зубарева, Мордкович 6 класс, Мнемозина:
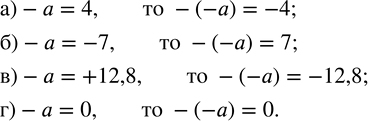
74. Укажите число, противоположное числу -a, если:
а) -a=4; б) -a=-7; в) -a=+12,8; г) -a=0.
*размещая тексты в комментариях ниже, вы автоматически соглашаетесь с пользовательским соглашением