Упр.750 ГДЗ Зубарева Мордкович 6 класс ФГОС (Математика)
Решение #1

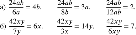
Рассмотрим вариант решения задания из учебника Зубарева, Мордкович 6 класс, Мнемозина:
750. а) Покажите, что произведение 24ab делится на 6a; 8b; 12ab.
б) Покажите, что произведение 42xy делится на 7y; 3x; 6xy.
*размещая тексты в комментариях ниже, вы автоматически соглашаетесь с пользовательским соглашением