Упр.769 ГДЗ Дорофеев Шарыгин 6 класс (Математика)
Решение #1

Рассмотрим вариант решения задания из учебника Дорофеев, Шарыгин, Суворова 6 класс, Просвещение:
769. 1) Возьмём равенство 4 - 7 - 9 = 4 + (-7) + (-9). Поменяем местами его левую и правую части:
4 + (-7) + (-9) = 4 - 7 - 9.
Это равенство показывает, что сумму 4 + (-7) + (-9) можно записать проще, без скобок и промежуточных знаков сложения, - надо выписать одно слагаемое за другим с их знаками.
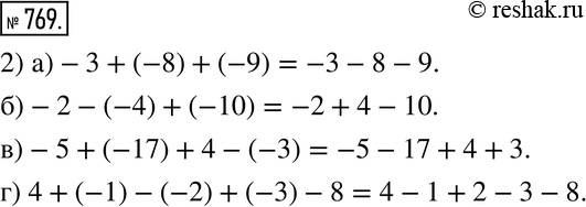
2) Замените выражение равным, не содержащим скобок:
а) -3 + (-8) + (-9);
б) -2 - (-4)+ (-10);
в) -5 + (-17) + 4 - (-3);
г) 4 + (-1) - (-2) + (-3) - 8.
Образец. 5 - (+2) + (-3) = 5 + (-2) + (-3) = 5 - 2 - 3.
*размещая тексты в комментариях ниже, вы автоматически соглашаетесь с пользовательским соглашением