Упр.11.4 ГДЗ Мордкович 9 класс (Алгебра)
Решение #1
Решение #2

Рассмотрим вариант решения задания из учебника Мордкович 9 класс, Мнемозина:
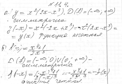
11.4. Докажите, что функция является нечетной:
а) y=x2(2x-x3);
б) y= (x4+1)/2x3;
в) y=x(5-x2);
г) y=3x/(x6+2).
*размещая тексты в комментариях ниже, вы автоматически соглашаетесь с пользовательским соглашением