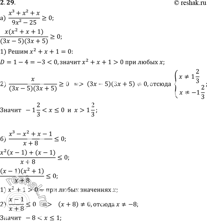
Упр.2.29 ГДЗ Мордкович 9 класс (Алгебра) Решение #1 Рассмотрим вариант решения задания из учебника Мордкович 9 класс, Мнемозина: 2.29 *Цитирирование задания со ссылкой на учебник производится исключительно в учебных целях для лучшего понимания разбора решения задания. 9 mordkovich9 2-29 « Предыдущее Следующее » *размещая тексты в комментариях ниже, вы автоматически соглашаетесь с пользовательским соглашением Похожие решебники Мордкович Мордкович, Семенов, Александрова Популярные решебники 9 класс Все решебники Rainbow Баранова, Афанасьева, Михеева Габриелян Габриелян Юдовская Юдовская, Баранов, Ванюшкина Enjoy English (Раб тетрадь) Биболетова, Бабушис Еремин Еремин, Кузьменко Дронов (Раб тетрадь) Дронов, Ром