Упр.3.17 ГДЗ Мордкович 9 класс (Алгебра)
Решение #1
Решение #2

Рассмотрим вариант решения задания из учебника Мордкович 9 класс, Мнемозина:
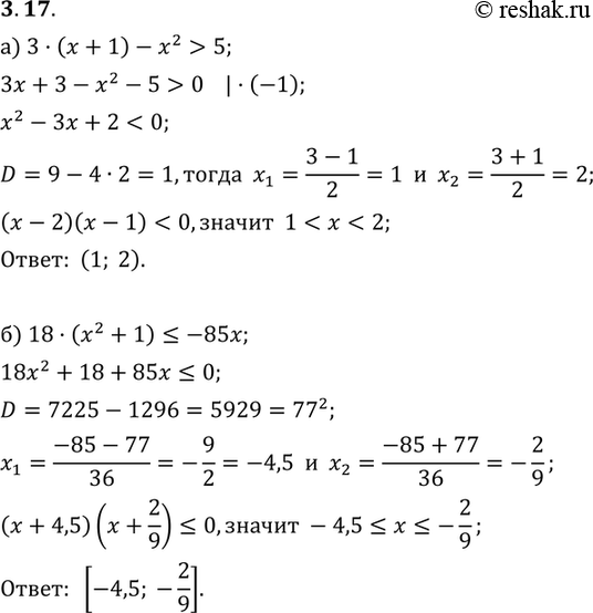
3.17. Запишите заданное множество в виде числового промежутка
а) {х |3(х + 1) - х2 > 5};б) {х |18(х2 + 1) <= ~85x}.
*размещая тексты в комментариях ниже, вы автоматически соглашаетесь с пользовательским соглашением