Упр.3.7 ГДЗ Мордкович 9 класс (Алгебра)

Решение #1

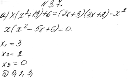
Изображение 3.7. а) Решите уравнение x(x2 4- 19) 4- 6 = (2x 4- 3)(3x 4- 2) - x2.б) Запишите множество M корней этого уравнения, перечислив его элементы в порядке возрастания.в)...

Решение #2

Изображение 3.7. а) Решите уравнение x(x2 4- 19) 4- 6 = (2x 4- 3)(3x 4- 2) - x2.б) Запишите множество M корней этого уравнения, перечислив его элементы в порядке возрастания.в)...
Дополнительное изображение
Загрузка...

Рассмотрим вариант решения задания из учебника Мордкович 9 класс, Мнемозина:
3.7. а) Решите уравнение x(x2 4- 19) 4- 6 = (2x 4- 3)(3x 4- 2) - x2.
б) Запишите множество M корней этого уравнения, перечислив его элементы в порядке возрастания.
в) Запишите все возможные способы перечисления элементов множества М.
г) Сколько всего имеется способов перечисления элементов множества М?
*Цитирирование задания со ссылкой на учебник производится исключительно в учебных целях для лучшего понимания разбора решения задания.
*размещая тексты в комментариях ниже, вы автоматически соглашаетесь с пользовательским соглашением