Упр.4.30 ГДЗ Мордкович 9 класс (Алгебра)
Решение #1

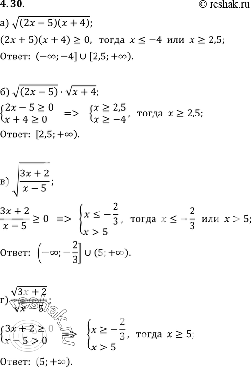
Рассмотрим вариант решения задания из учебника Мордкович 9 класс, Мнемозина:
4.30 а) корень ((2x-5)(x+4));
б) корень (2x-5) * корень(x+4);
в) корень ((3x+2)/(x-5));
г) корень (3x+2)/корень (x-5).
*размещая тексты в комментариях ниже, вы автоматически соглашаетесь с пользовательским соглашением