Упр.6.24 ГДЗ Мордкович 9 класс (Алгебра)
Решение #1
Решение #2

Рассмотрим вариант решения задания из учебника Мордкович 9 класс, Мнемозина:
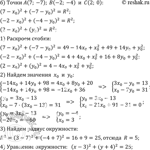
6.24. Составьте уравнение окружности, проходящей через точки:
а) A(3; 13), В(-7; -11), С(10; 6); б) А(7; -7), Б(-2; -4), С(6; 0).
*размещая тексты в комментариях ниже, вы автоматически соглашаетесь с пользовательским соглашением