Упр.7.24 ГДЗ Мордкович 9 класс (Алгебра)
Решение #1
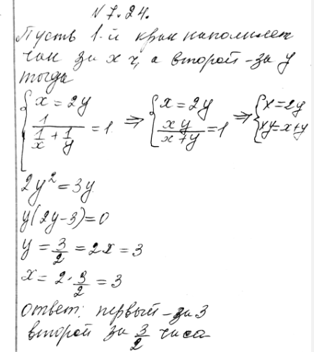
Решение #2

Рассмотрим вариант решения задания из учебника Мордкович 9 класс, Мнемозина:
7.24. Чан наполняется двумя кранами при совместной работе за 1 ч. Наполнение чана только через первый кран длится вдвое дольше, чем через второй кран. За какой промежуток времени каждый кран отдельно может наполнить чан?
*размещая тексты в комментариях ниже, вы автоматически соглашаетесь с пользовательским соглашением