Упр.7.47 ГДЗ Мордкович 9 класс (Алгебра)
Решение #1
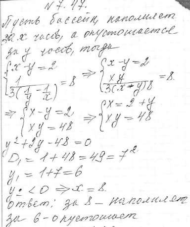
Решение #2

Рассмотрим вариант решения задания из учебника Мордкович 9 класс, Мнемозина:
7.47. В бассейн проведены две трубы разного сечения. Одна равномерно подает, а вторая равномерно отводит воду, причем через первую бассейн наполняется на 2 ч дольше, чем через вторую опорожняется. При заполненном на 1/3 бассейне были открыты обе трубы, и бассейн оказался пустым спустя 8 ч. За сколько часов, действуя отдельно, первая труба наполняет, а вторая опорожняет бассейн?
*размещая тексты в комментариях ниже, вы автоматически соглашаетесь с пользовательским соглашением