Упр.8.13 ГДЗ Мордкович 9 класс (Алгебра)
Решение #1
Решение #2

Рассмотрим вариант решения задания из учебника Мордкович 9 класс, Мнемозина:
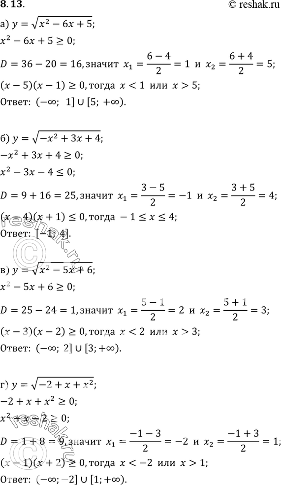
8.13 а) y= корень (x2-6x+5);
б) y= корень (-x2+3x+4);
в) y= корень (x2-5x+6);
г) y= корень (-2+x+x2).
*размещая тексты в комментариях ниже, вы автоматически соглашаетесь с пользовательским соглашением