Упр.6.5 ГДЗ Мордкович 9 класс (Алгебра)
Решение #1
Решение #2

Рассмотрим вариант решения задания из учебника Мордкович 9 класс, Мнемозина:
6.5. Решите систему уравнений методом подстановки:
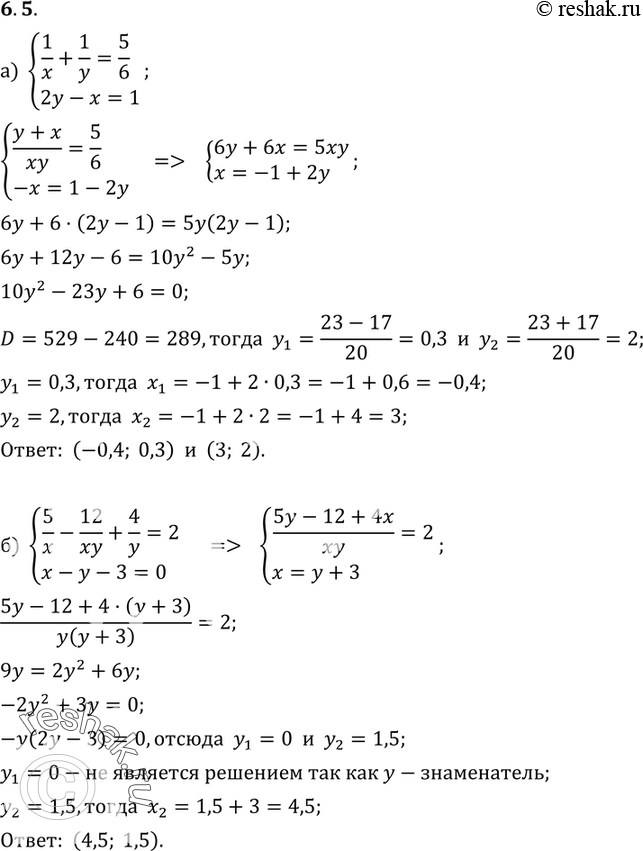
а) система
1/x+1/y=5/6,
2y-x=1;
б) система
5/x-12/xy+4/y=2,
x-y-3=0;
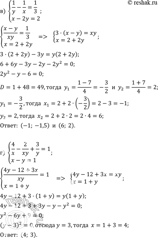
в) система
1/y-1/x=1/3,
x-2y=2;
г) система
4/x-12/xy + 3/y=1,
x-y=1.
*размещая тексты в комментариях ниже, вы автоматически соглашаетесь с пользовательским соглашением