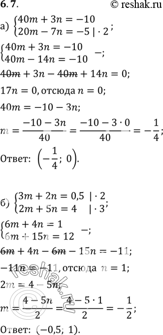
Упр.6.7 ГДЗ Мордкович 9 класс (Алгебра)
Решение #1

Рассмотрим вариант решения задания из учебника Мордкович 9 класс, Мнемозина:
6. 7 а) система
40m-3n=-10,
20m-7n=-5;
б) система
3m+2n=0,5,
2m+5n=4;
в) система
5m+2n=1,
15m+3n=3;
г) система
4m+7n=11,
5m-2n=3.
*размещая тексты в комментариях ниже, вы автоматически соглашаетесь с пользовательским соглашением